© nrh Anna - stock.adobe.com

Januskinase-Inhibitoren

Mehr kardiovaskuläre Ereignisse und Malignome?

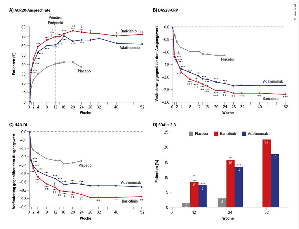
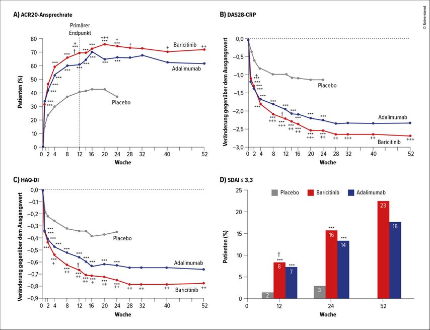
Mit Tofacitinib, einem Strukturanalogon von ATP, wurde 2013 erstmals ein Januskinase-Inhibitor (JAKi) in der Schweiz zugelassen. Die Vertreter dieser Medikamentenklasse haben sich gut eingeführt. Allerdings gab es immer wieder Hinweise darauf, dass die Therapie mit vermehrten kardiovaskulären Ereignissen und einem erhöhten Malignomrisiko einhergehen könnte. Wie sich die Puzzleteile der wissenschaftlichen Evidenz zusammenfügen.

JAKi binden an die intrazellulär liegenden Rezeptoren der Januskinasen, erklärte Prof. Dr. med. Diego Kyburz, Basel. Anders als Biologika verhindern sie damit nicht die Zytokinbindung am Rezeptor, sondern die intrazelluläre Signalübertragung, die nach dieser Bindung normalerweise einsetzt.1 Zur Januskinasen-Familie gehören JAK1 bis 3 sowie die Tyrosinkinase (TYK) 2. Sie können in verschiedenen Kombinationen am intrazellulären Teil von Zytokinrezeptoren binden. JAK1 spielt in der Steuerung der meisten der Zytokine eine Rolle, JAK2 kann auch an Nicht-Zytokin-Rezeptoren binden, beispielsweise an jene für Wachstumsfaktoren wie Erythropoetin, GM-CSF und G-CSF.2

Sie sind bereits registriert?
Loggen Sie sich mit Ihrem Universimed-Benutzerkonto ein:

Login

Sie sind noch nicht registriert?
Registrieren Sie sich jetzt kostenlos auf universimed.com und erhalten Sie Zugang zu allen Artikeln, bewerten Sie Inhalte und speichern Sie interessante Beiträge in Ihrem persönlichen Bereich zum späteren Lesen. Ihre Registrierung ist für alle Unversimed-Portale gültig. (inkl. allgemeineplus.at & med-Diplom.at)

Registrieren

Back to top